Anime wallpaper is a popular way to show off your love of anime in a visual way. There are many different types of anime wallpaper, from classic cel-shading to realistic graphics. Whether you’re looking for something traditional or futuristic, there’s always something to choice from.
searching about 空景色青 | wallpaper.sc iPhone6sPlus壁紙 you’ve came to the right web. We have 15 Pics about 空景色青 | wallpaper.sc iPhone6sPlus壁紙 like GCF of 7 and 15 - How to find the GCF of 7 and 15?[Solved], Module 10 Topic 1 factoring gcf and also 3 3 4 Factoring Using GCF - YouTube. Read more:
空景色青 | Wallpaper.sc IPhone6sPlus壁紙

Source: wallpaper.sc
.
What is anime and why are people interested in it? Anime is a genre of animation that typically follows the story lines of young people in Japan. It has been around since the late 1800s and has seen many changes over the years. One of the most recent changes is that anime has become more popular than ever, with people from all walks of life becoming interested in it. This popularity can be seen in its various forms, from traditional Toonami programming to online streaming services. There are many reasons people may enjoy anime, but one of the most important reasons is because it provides an escape from reality.
8 Inspiring Quotes To Help When You Are Feeling Down - Positively

Source: positivelypositive.com
positively.
Recommendations for watching anime: You can Recommendations for watching anime you can. There are many different types of anime that can be enjoyed, so it really depends on what you’re looking for in an anime. While there are some general tips that apply to all types of Anime, here are some specific recommendations for those who enjoy the genre of Anime: -Watching a new show immediately after its release is always a great way to start an AnimeWalker day. This will give you a sense of when the next episode will air and provide you with a recap of the story before you even get started watching. -If you’re looking for something more drawn out, try checking out OVA’s or one-shots before getting into the full series. These episodes usually have less action and more atmosphere, which can add to your enjoyment while giving you more closure on the story.
Sugartown Publishing - PUBLISHED TITLESTo Order, Please Click On The

Source: sugartownpublishing.com
edge bruce cover sugartown publishing author book who her his school person through its bible if english poet should little.
Types of cool wallpaper: There are many types of cool wallpaper, but some of the most popular include abstract art, nature scenes, and pop art. If you’re looking for a wallpaper that will add a little life to your home or office space, consider something that’s both stylish and classic.
GCF Of 2 And 7 | How To Find GCF Of 2, 7?

Source: cuemath.com
gcf.
20 Adorable Black And White Cocker Spaniel Pics That Will Cheer You Up

Source: thepaws.net
spaniel cocker springer spaniels puppies brittany dog english dogs puppy cheer adorable cute somegram chiots visit paws cat choose board.
What is wallpaper and why are people interested in it? What is wallpaper and why are people interested in it? Wallpaper is a type of art that typically consists of pieces of text or graphics that are displayed on a wall as a decoration. It can be used to create an idea of space or to add personality to a room. There are many different types of wallpaper, but some of the most popular ones include floral wallpaper, abstract wallpaper, and colorblocking wallpaper.
16 Smiling Cats To Brighten Your Day | Top13

Source: top13.net
top13 brighten.
When it comes to desktop wallpaper, there are a variety of options to choose from. A few popular choices include: HD wallpaper, retina wallpaper, and high definition wallpaper. All of these Wallpapers come in a variety of resolutions, which can make them perfect for any desktop or mobile device.
Outdoor Kitchen Ideas Let You Enjoy Your Spare Time - Amazing DIY

Source: woohome.com
.
When it comes to wallpaper, there are a few things that everyone should consider. One is the type of wallpaper, as different types of wallpaper are better for different types of rooms. Another thing to consider is the size of the wallpaper. Some people might prefer large wallpaper while others might prefer smaller wallpaper. The last thing to consider is whether or not the wallpaper should be professionally installed or if you can do it yourself.
Day 9 Factoring With Gcf Day 3

Source: slideshare.net
gcf factoring.
The History of Wallpapers: From Ancient Times to Today Wallpapers have been around for centuries and there are a variety of them to choose from. Some wallpapers were created to be seen on large canvases or in temples, while others are used as background wallpaper on laptops and smartphones. The history of wallpaper is reflective of the history of humankind.
Linden, Harvest Gold® - TheTreeFarm.com

Source: thetreefarm.com
linden tilia mongolica mongolian thetreefarm bylands.
Anime wallpaper is a popular trend in the internet. It can be a great way to add some extra color or interest to your desktop. There are many different types of anime wallpaper, so it’s important to find the one that fits your own style and needs.
Home School Math: How To Find Gcf Of Three Numbers
Source: home-school-math.blogspot.com
.
Types of cool wallpaper: There are many types of cool wallpaper, but some of the most popular include abstract art, nature scenes, and pop art. If you’re looking for a wallpaper that will add a little life to your home or office space, consider something that’s both stylish and classic.
GCF Of 7 And 15 - How To Find The GCF Of 7 And 15?[Solved]
![GCF of 7 and 15 - How to find the GCF of 7 and 15?[Solved]](https://d138zd1ktt9iqe.cloudfront.net/media/seo_landing_files/gcf-of-7-and-15-by-long-division-method-1615368770.png)
Source: cuemath.com
gcf.
- lemonade
Module 10 Topic 1 Factoring Gcf

Source: slideshare.net
factoring gcf.
What is anime and why are people interested in it? Anime is a genre of animation that typically follows the story lines of young people in Japan. It has been around since the late 1800s and has seen many changes over the years. One of the most recent changes is that anime has become more popular than ever, with people from all walks of life becoming interested in it. This popularity can be seen in its various forms, from traditional Toonami programming to online streaming services. There are many reasons people may enjoy anime, but one of the most important reasons is because it provides an escape from reality.
3 3 4 Factoring Using GCF - YouTube

Source: youtube.com
.
- cream cheese
20 Pics Of Fairy Tale Architecture From Norway | Architecture & Design

Source: architecturendesign.net
norway architecture tale fairy viking ancient road noruega nature norwegian.
Background: - What kind of wallpaper is best for your home? Wallpapers are often a deciding factor in home décor. They can be a way to add personality and flavor to your living space, or simply as a backdrop for your pictures. Here, we’ll take a look at some of the best wallpaper options for both personal and professional use.
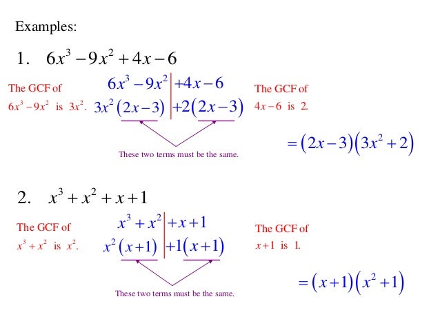
Factoring GCF And Grouping

Source: slideshare.net
gcf factoring grouping.
Wallpapers are a type of image that is downloaded as a background image on some devices. They can be used to show off the device’s design or to create a custom look for the device. There are many different wallpaper designs to choose from, and it can be hard to decide which one to use as your device’s wallpaper.